[最新] 中学 因数分解 公式 137618-中学 因数分解 公式
中学数学の教科書に出てくる公式を一覧でまとめました。 乗法公式 、 因数分解 の公式から 図形の面積、体積を求める公式 までテスト前の確認用に使用してみてください。 図形の面積・体積を求める公式については画面下に 確認テスト があります。 毎回ランダムに出題されるので 因数分解だと、どの公式を使えばよいのかがわかりにくかった記憶があるんですけど。 教室長 因数分解で覚えて使うのは、以下の2つだけでよいんですよ。 a2-b2= (ab) (a-b) x2 (ab)xab= (xa) (xb) 保護者 え? もっとたくさんありませんでしたっけ? 保護者 私も、3つはあったと思うんですけど 教室長 そうでしょうね。 でも、公式はこれだけ知っていれば解けるんですよ。 保護者 どうやって使うんですか? 教室長 因数分解の4つの公式 以前勉強した乗法公式を反対にすると因数分解の公式になります。 はじめは間違えやすいので、公式を確認しながら問題練習をするといいですね。 繰り返し問題を解いていくうちにこれらの公式は自然と覚えられますので、心配な方は問題練習に時間をかけるとい
因数分解 は簡単に解ける 公式と解き方のコツをご紹介 札幌市 学習塾 受験 チーム個別指導塾 大成会
中学 因数分解 公式
中学 因数分解 公式- 共通因数を見つけて括りだす方法のみでは対応しきれない問題に対しては、この公式を活用して解き進める必要があります。 因数分解の公式1:x 2 y 2 = (xy) (xy) 中学生の皆さんが真っ先に身に着けている公式が x2y2= (xy) (xy) です。 後に紹介する2種類の公式ほど長いわけでは無いため、この式だけは身につけているというパターンが多いのが特徴です。 御託を並べても仕方 因数分解2乗の公式 特に重要なのが、④の公式です。 ④の公式に a = y, b = y を代入すると①の公式になり、 a = − y, b = − y を代入すると②の公式になり、 a = y, b = − y を代入すると③の公式になります。 ④の活用例 x 2 7 x 12 = x 2 ( 3 4) x 3 × 4 = ( x



高校数学 14 10 25 講義5 重要因数分解公式 中学数学 高校数学
ここでの内容は、こんな人へ向けて書いています 2次式の因数分解の解き方がわからない 考えてると頭がごちゃごちゃする・整理ができない 公式覚えたくない 2次式の因数分解は量をこなすことによって誰でもできます。 一番早いのは公式に当てはめて解くことでしょう。 しかし、それで 1 因式分解常用公式 1、平方差公式:a²b²= (ab) (ab)。 2、完全平方公 100以上中3 数学公式 シモネタ 小学升初中 小升初 数学公式的归纳和总结 牢记考重点中学 中3 学習単元一覧 式の展開 因数分解 平方根 2次方程式 2乗に比例する関数 図形の相似 三平方の定理 円の性質 標本調査 式の展開式の展開の基礎乗法公式1乗法公式2
因数分解公式② 掛けて足して 因数分解公式③④ 二乗になる 因数分解の公式⑤ 二乗ひく二乗 因数分解の公式中学生まとめ! 中3受験生へこの力を身につけたら本番で60点は楽勝にとれる! こちらの関連記事はいかがでしょうか? 「因数分解ってどうやって覚えるの?」 「公式が覚えきれない」 「因数分解を解くコツって?」 こんなことでお悩 因数分解は、展開と違って苦手な子が多い範囲ですが、きちんと作法を守れば簡単に解ける分野。因数分解と聞くと難しいイメージが先行してしまいますが、実は公式因数分解の解法マニュアル どんな問題もまずⅠ,Ⅱ,Ⅲを試みます. Ⅰ 共通因数があればくくる(全体ではなく個別にくくっても可) Ⅱ 因数分解の公式が使えるか検討する(上の公式⑥はたすきがけで対処). Ⅲ 同じ形を別の文字で置き換える.その後,因数分解の公式が使える形まで変形.
平方根も因数分解もできないなら 解の公式! \ (x^28x4=0\)、\ (2x^26x3=0\) など。 それぞれの解き方を何度も練習して自分のモノにしてください! このページでは、中学3年生の数学で押さえておきたい重要ポイントである "多項式の計算" 、 "因数分解 因数分解?? 中学3年生でやる因数分解(いんすうぶんかい) なんだが 言葉を聞くだけで難しそうな問題 ですね笑 でも安心してください! 全然わからないって人でも計算の仕方も解き方のコツさえ知ればカンタンに解ける ようになります。 ではやっていきましょう。 乗法公式 ⇔ 因数分解公式(数学Ⅰ・数と式) トップページへ戻る式の計算~展開と因数分解 この章で学ぶことは、大きく分けて2つある。 中学・高校の教科書に出てくる数学公式まとめ大全因数分解(公式2) 1 次の式を因数分解しなさい x 2 6x9 x 2 8x16 x 2 10x2



1



中学数学 因数分解の簡単な解き方がわかる3つのステップ Qikeru 学びを楽しくわかりやすく
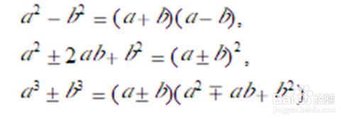
中学生向け 因数分解の問題を解く2つのチェックポイント 京橋数学塾a4u この公式は、「x 2 2axa 2 = (xa) 2 」として教科書に載っていると思いますが、知らなくても「同じ因数が出てきたら2乗でまとめる」と覚えておけば、2つ目の公式で解けるんです。 因数分解の4つの基本公式 因数分解についての,基本的な4つの公式を書きます. これらは展開の4つの基本公式で右辺と左辺を この記事ではこんな人を対象に書いています この記事では、因数分解をわかりやすく解説しています。 まずは「因数分解とは」から説明していき、実際に基本的な問題を解きながら丁寧に解説を進めていきます。 高校入試では、因数分解の問題が毎年必ず出題されていますし、高校数学 因数分解で中学受験の 計算が楽にできる場合があります 小学生で習っていない 因数分解を 使って解いて良いのか? って思いますが 知ってる子が 使って解くのは仕方ない ですよね?笑 そこでコメント頂きましたので 中学受験と因数分解について



3乗の因数分解 展開 公式 理系ラボ



初中因式分解常见六种方法判断赏析及例题 尖子生必备 每日头条
因数分解の解き方1:共通因数をくくりだす簡単な方法 因数分解の解き方2:和と差の積の公式を用いる方法 因数分解の解き方3:和の平方・差の平方の公式を用いる方法 因数分解の解き方4:xaとxbの積の公式を用いる方法 因数分解の解き方5:共通因数を= (3x4)²と因数分解出来ます。 乗法公式④x²a²= (xa) (xa) xの項がない乗法公式④は和と差の積 (xa) (xa)=x²a²のとき。 よって ² ²= ( ) ( )と因数分解出来ます。 例えば、 x²81 81=9²なので x²81= (x9) (x9)となります。 公式の②〜④に関しては、9=3²、16=4²のように2乗の数をある程度覚えておくとピンとくるので便利ですね。 共通因数でくくってから乗法公式を使う 例えば、 中学3年生の乗法公式が終わるといよいよ因数分解です。 今まで2×3を解いて6という感じの計算ばかりでしたが、因数分解では6を2×3のようにすることをいいます。 形だけ見ると素因数分解みたいですね。 素因数分解では数字のみ



数学 中3 6 因数分解 Youtube



6种方法来因式分解二次多项式 二次方程
因数分解には公式があります。 公式を使えれば因数分解は楽勝です。 それぞれの公式とその特徴をしっかり覚えていきましょう! 共通因数をくくる 因数分解には公式があると言いましたが、公式は決まったパターンにしか適用できません。Try IT(トライイット)の因数分解の公式1 (x+a)(x-a)の逆の練習の映像授業ページです。Try IT(トライイット)は、実力派講師陣による永久0円の映像授業サービスです。更に、スマホを振る(トライイットする)ことにより「わからない」をなくすことが出来ます。因数分解-乗法公式の利用(2)のポイントは!①左と右が2乗の形になっている②( 2 ) × ( 左根っこ ) × ( 右根っこ )が ( 真ん中の項 ) になって



中学数学 因数分解の2つの公式の覚え方 Qikeru 学びを楽しくわかりやすく



中学数学 因数分解 Apps 148apps
次の式を因数分解しなさい 公式 公式 公式の覚え方としては足してab、掛けてabになると覚えましょう。 具体的な考え方を解答で学びましょう。 解答 解答 足して 、掛けて になる数字を考える。 答え まとめ 因数分解は公式を覚えることも大切ですが、具体的な数字の時に解ければ公式も理解できると思います。 反復練習をして徹底的にできるようにしましょうね。 それではまた!因数分解公式一覧(全22個) 具体例で学ぶ数学 > 計算 > 因数分解公式一覧(全22個) 最終更新日 ~中学数学で最初に習う、基本的な公式~ x 2 ( a b) x a b = ( x a) ( x b) x 2 2 x y y 2 = ( x y) 2 x 2 − 2 x y y 2 = ( x − y) 2 x 2 − y 2 = ( x y) ( x − y 因数分解するときは ・左端と右端が何かの二乗になっていなかったとき。 ・左端と右端が二乗だけど、真ん中がその2倍になっていなかったとき。 そんなときは、この公式の出番です。 (xa) (xb)のaとbが何かを考えることが、この公式の因数分解のポイントです。 まず、右端の数を見てください。 ここは、aとbのかけ算の結果です。 さっき展開した結果を見てみましょう。 x 2



高校数学 14 10 25 講義5 重要因数分解公式 中学数学 高校数学



因式分解进阶 换元法的妙用 高中数学 学习资料大全 免费学习资源下载
公式を使って因数分解する問題があります。具体的には、公式を使う因数分解の問題(ランダム)です。 つぎのページには、公式を使う因数分解の問題(ランダム)が10問あります。 \2x^24xy126y^2\ > 公式を使う因数分解の問題(ランダム) No4Try IT(トライイット)の因数分解の公式3 (x+a)(x+b)の逆の例題の映像授業ページです。Try IT(トライイット)は、実力派講師陣による永久0円の映像授業サービスです。更に、スマホを振る(トライイットする)ことにより「わからない」をなくすことが出来ます。因数分解-乗法公式の利用(1)のポイントは!x^2 x の形は、 3 つのステップで因数分解する!① シッポを見て、掛け算の組を考える!② x の



三次函数因式分解 搜狗搜索



3次式の因数分解 公式とやり方について問題を使って解説 数スタ
中学数学公式を使う因数分解の問題(ランダム) No4 どうも、『5つのパターンで9割わかる! 中学数学の文章題』(総合科学出版)などの著書がある石崎です。 中学3年数学 2乗の因数分解 Youtube 因数分解 公式 中学 因数分解 公式 中学 平方根も因数分解もできないなら 解の公式! \ (x^28x4=0\)、\ (2x^26x3=0\) など。 それぞれの解き方を何度も練習して自分のモノにしてください! 因数分解の公式が使えない とか、 共通因数でくくれない って問題だと思うんだ。 そんなときに助けてくれるのが、 たすき掛けの因数分解 だ。 たすき(襷)といえば、 駅伝とか、 宴会の余興をイメージしちゃうかもね。 だけど、因数分解にもじつは、



中学3年数学 因数分解の解き方 簡単な方法 公式をマスターしよう 都立高校受験応援ブログ



式の計算 因数分解のコツ 中学数学 定期テスト対策サイト
因数分解が苦手な人による因数分解が苦手な人のための 公式集です! 乗法公式ノートも合わせて見てください!! 学年 中学全学年, 単元 因数分解, キーワード 中3,数学,公式,問題,解き方,テスト対策,共通因数,math数の因数分解\\(=4×5\\) なので、\\(4\\) や \\(5A 2 a を因数分解すると、 = a (a1) ですね ↑ (a)・ (a1) (カッコ)を「1文字」と見れれば、 〇×〇 の形であるとわかりますね ⇒ すべての「単項式」「多項式」が「 × かける 」でつながっている このとき、 a 2 は a×a なので 因数「a」を2つ持つ a は a なので 因数「a」を1つ持つ 共通因数は 『a (1つ)』、それぞれその 「aを1つ」 を出すことを 「 共通因数でくくる 」と表現しますね! → a 2 a = a



因数分解とは 公式と計算のやり方を覚えて問題を解いてみよう 中学 高校数学 テラコヤプラス By Ameba



八上数学因式分解的基本方法 每日头条



6种方法来因式分解二次多项式 二次方程



中学数学 多項式 の教え方 因数分解



因数分解の公式のまとめ 中学生はこのパターンを覚えておこう 中学や高校の数学の計算問題



初中数学 因式分解的七大解题方式 一招搞定 教育频道 手机搜狐



因数分解のいろいろな計算 無料で使える中学学習プリント



一道初中数学竞赛题 得到答案并不难 难的是过程 教育资讯 游戏资讯网



因式分解经典解析 人人焦点



25 中学因数分解公式 ニスヌーピー壁紙



中3 式の計算 因数分解 公式編 設計図の選び方と使い方 あとはパズル 教えたい 人のための 数学講座



中学数学 因数分解の簡単な解き方がわかる3つのステップ Qikeru 学びを楽しくわかりやすく



二次三项式的因式分解 用公式法 九年级数学教案 求学网



因数分解のコツ 式の計算 中学生からの勉強質問 数学 進研ゼミ中学講座



乗法公式による式の展開と因数分解 中学数学の多項式計算 リョースケ大学



上海市第二中学高一期中数学卷19 11 不等式 哔哩哔哩 つロ干杯 Bilibili



ベスト 因数分解公式中学 ニスヌーピー壁紙



6种方法来因式分解二次多项式 二次方程



6种方法来因式分解二次多项式 二次方程



因式分解要掌握的7种方法和4种解题思路 太简单了 每日头条



因式分解的八种方法 十字相乘法 双十字相乘法 哔哩哔哩 Bilibili



中学数学 式の展開 因数分解



因式分解方程怎么解 如何因式分解来解一元三次方程 三人行教育网 Www 3rxing Org



中学3年数学 因数分解 因数分解をわかりやすく解説 高校入試出題率100 数学の面白いこと 役に立つことをまとめたサイト



腾讯视频



八年级数学 上册 15 4 2因式分解公式法 Ppt Download



初中三年数学公式定理总结 太有用了 中学 网易订阅



因数分解 は簡単に解ける 公式と解き方のコツをご紹介 札幌市 学習塾 受験 チーム個別指導塾 大成会



中学3年数学 2乗の因数分解 Youtube



中3 展開と因数分解13 動画 公式を使う因数分解1レベル3の解説 中学数学の勉強に



中学で習う範囲での因数分解の公式と問題の解き方の解説です 因数分解とはなにか そこから説明します 共通因数を抜き出すことから始める因数分解ですが 2次方程式でも重要になりますのでこの式の計算単元で身につけておきましょ 素因数分解 習う 勉強方法



中考数学因式分解精选例题解析 每日头条



Download 中学3年 因数分解 問題集 Images For Free



中学3年数学 二次関数 平方完成を使って二次方程式を解く 数学の面白いこと 役に立つことをまとめたサイト



5 4 因式分解 知乎



因式分解 一个多项式化为几个最简整式的积 头条百科



高中数学三次分解因式 高中数学如何求解一元三次方程 如何因式分解 三人行教育网 Www 3rxing Org



全国百强校 广东省汕头市金山中学高一数学初高中衔接材料一 乘法公式 二次根式及因式分解 Doc 沃文网wodocx Com



因式分解 因式分解是中學數學中最重要的恆等變形之一 它被廣泛地套用於初等 百科知識中文網



数と式 整式の展開と乗法公式について 日々是鍛錬 ひびこれたんれん



十字分析法方法化學計算方法 十字交叉法 百度文庫 Yxhsa



因数分解の意味 問題の解き方 数学fun



怎么进行因式分解 百度经验



因数分解の公式 中3 その2 鶴城数人 Note



中学数学 因数分解 平方の公式 和と差の公式 中学数学の無料オンライン学習サイトchu Su



腾讯视频



中学物理公式大全 高中物理公式大全 尚书坊



中学数学 因数分解の2つの公式の覚え方 Qikeru 学びを楽しくわかりやすく



1



立方差立方差 Nqnpg



Java求公因式 初中数学考试重点因式分解方法合集 掌握考试拿高分 潘铭允jasmine的博客 Csdn博客



トップ100 因数分解公式中学 子供のための最高のぬりえ



06分组分解法因式分解初中数学初二 Youtube



写真の乗法公式と因数分解の違いってなんですか Clearnote



中考考点老生常谈问题 因式分解01 及相应的解答题 每日头条



怎么进行因式分解 百度经验



基础重难点 整式分式与因式分解务必掌握的57种题型 176页word 雪花新闻



三角形外接球万能公式 秒杀三角形问题 三角形分角线的几个重要结论及其应用 炯仔richard的博客 程序员宅基地 程序员宅基地



平方公式解4元分解因式的方法 Itemn



差立方公式因數分解公式 N乗の差 和 Aozqkc



中3 数学 つまづきやすい因数分解公式の使い方を解説 授業動画あり アオイのホームルーム



中学数学 因数分解の公式 覚え方をご紹介 まなビタミン



中学数学 因数分解が嫌いな人へ 個別指導塾のyou 学舎日記 公式ブログ



因式分解 快懂百科



App Store 上的 数学公式集



中学数学 二次方程式の解き方はこの3パターンだけでok 平方根 因数分解 解の公式 楽スタ



中学3年生 数学 因数分解 問題プリント 無料ダウンロード 印刷 ちびむすドリル 中学生



驚くばかり因数分解中2 壁紙おしゃれトイレ



ここへ到着する因数分解公式中学



中学数学 因式分解 解题思路及方法全公开



中学生の数学 Xyz



怎么进行因式分解 百度经验



三次幂的因式分解 搜狗搜索



因数分解の公式まとめ一覧とその活用例 アタリマエ



1



因式分解 快懂百科



一个因式分解问题 知乎



约数个数问题的常规解法 18年11月19日 知乎



中学数学 因数分解の2つの公式の覚え方 Qikeru 学びを楽しくわかりやすく



天才数学者が発明した新しい因数分解が神すぎる Youtube



6 4 因数分解 基本脱出 勉強できようサイト



因式分解必须掌握的7种方法和4种解题思路 错过后悔



因数分解公式中学



八年级数学 上册 15 4 2因式分解公式法 Ppt Download



因式分解 因式分解是中學數學中最重要的恆等變形之一 它被廣泛地套用於初等 百科知識中文網



乘法公式初二 初二下册因式分解公式法十字相乘法 尚书坊



中学3年の数学 動画 因数分解 の問題 19ch



基础重难点 整式分式与因式分解务必掌握的57种题型 176页word 雪花新闻



中学3年 数学の世界3 いろいろな因数分解とその利用 教科書予習復習練習問題 赤城 ᐡᐤᐡ
コメント
コメントを投稿